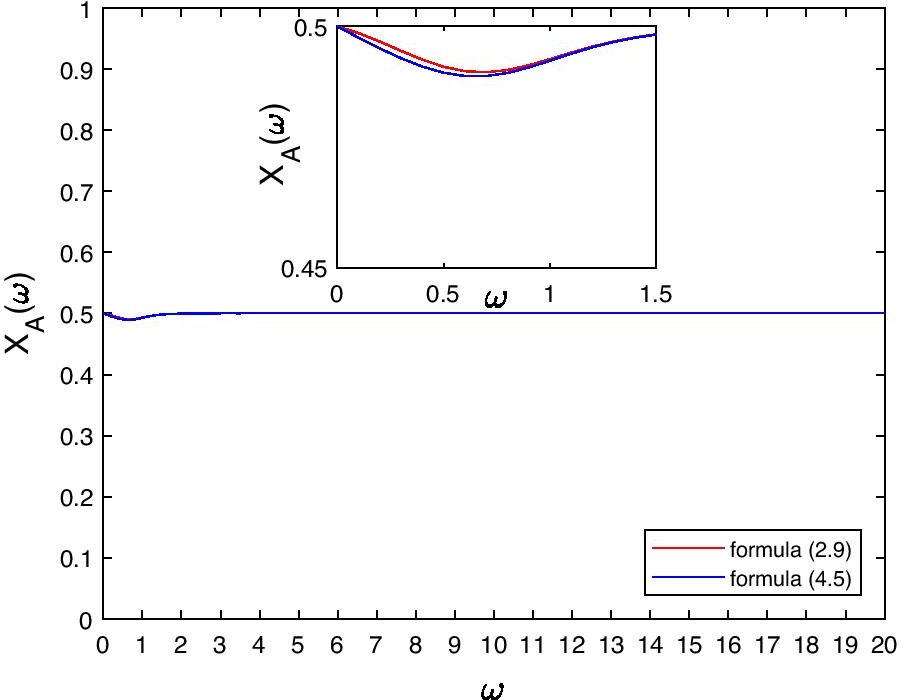
Fig. 6From: The characteristics of average abundance function with mutation of multi-player threshold public goods evolutionary game model under redistribution mechanismAverage abundance function with mutation \({{X}_{A}}(\omega )\) changes with \(\omega\) based on preliminary formula (7a) and approximation formula (13a) (\(d=15,r=10,c=1,\tau =0.25,\alpha =1,m=2,N=100,\delta =0.03\))Back to article page